「電磁音叉の振動数をもとめる
」 |
ここまでで得た値より電磁音叉の振動数 をもとめるには、
○弦の張力 をもとめる
皿と分銅の質量の合計を とすると、皿の質量 、分銅の質量 より

弦の張力 は皿と分銅の質量の合計 をに重力加速度 を掛けたものであることより、

でもとめられる
○弦の線密度 をもとめる
弦の質量 、弦の長さ より、弦の線密度 は弦の質量を長さで割ったものであるから、 |

でもとめられる
○定常波の波長の平均値 をもとめる
(電磁音叉の振動が弦と垂直な場合)
定常波の波長の平均値を とすると、それぞれの節の値 から、

でもとめられる
(電磁音叉の振動が弦と平行な場合)
同様に、定常波の波長の平均値を とすると、それぞれの節の値 から、

でもとめられる
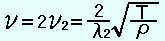
○以上から電磁音叉の振動数 をもとめる
(電磁音叉の振動が弦と垂直な場合)
弦の振動数をを とすると、
|
 |

でもとめられる
(電磁音叉の振動が弦と平行な場合)
同様に、弦の振動数を とすると、

でもとめられる |
波長の違いが起こるわけ
実験方法5-1へ
meldeの実験に戻る
参考文献
・六訂 物理学実験/吉田卯三郎、武居文助、橘芳實、武居文雄 著/三省堂
・物理の考え方 下/木暮隆夫 著/増進会出版社
・医学歯学のための物理実験/鮎川武二、村田浩 編/集文社
・物理学実験/佐々木忠義、橘高重義、永田正 著/内田老鶴圃
|