ホームへ戻る 中学校から学ぶ電磁気学 > 科学史からみるオームの法則 > 

オームの論文より

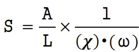
オームは回路の流れの強さ(電流)をS、回路の長さをL、回路の張力(電圧)をAとして次の式を導き出した。

式1

次に、 回路のある一点の場合で考えた場合χを伝導率、ωを回路のある一点の横断面積とすると

式2となります。

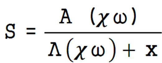
xを回路のある部分の長さとし、Λを他の回路全体の長さとすると

式3

この式の右辺の分母と分子に(χω)をかけると

式4

A(χω)、Λ(χω)は定数なので、それぞれをa、bと置くと

式5

このようになり、次のようなオームが導き出した式になります。

式6

それぞれが表す意味は
Xが磁気作用の強さ、aが発電力、xが導線の長さ、bが回路の残りの部分の抵抗によって定まる定数。
となります

式7I:電流 V:電圧 R’:内部抵抗 R:抵抗

R'は全体の内部抵抗となり無視できるので・・・

式8

このようになります。




抵抗Rに注目してみよう!